青岛能源所提出新型提高纤维素生物质厌氧发酵沼气产量的方法
纤维素生物质包括农作物秸秆、谷壳、蔗渣等农业生产废弃物,我国仅秸秆每年产生量近7亿吨。相对于直接还田、气化、好氧堆肥等技术,厌氧发酵具有既产生替代能源又产生养分的双重经济效益,是资源化利用纤维素生物质的有效技术。
通氧常作为污水处理过程中提高有机废物水解率的方法之一,已得到广泛应用。青岛能源所郭荣波研究员带领的工业生物燃气研究组于2015年提出了微氧预处理技术,以更少通氧量和通氧时间进行预处理,可提高玉米秸秆厌氧发酵产沼气能力。研究得出,在最佳通氧量5ml(gVS)-1和温度55℃条件下,产甲烷量提高了16.24%(Bioresource Technology, 2015, 175C(7), 203-208)。因为微氧预处理前后沼液接种物微生物群落发生改变,预处理后厚壁菌门下Clostridia增多,Clostridiales相对丰度达77.99%,高于处理前15.7%(Chemical Engineering Journal, 2016, 287 (8), 523-528)。
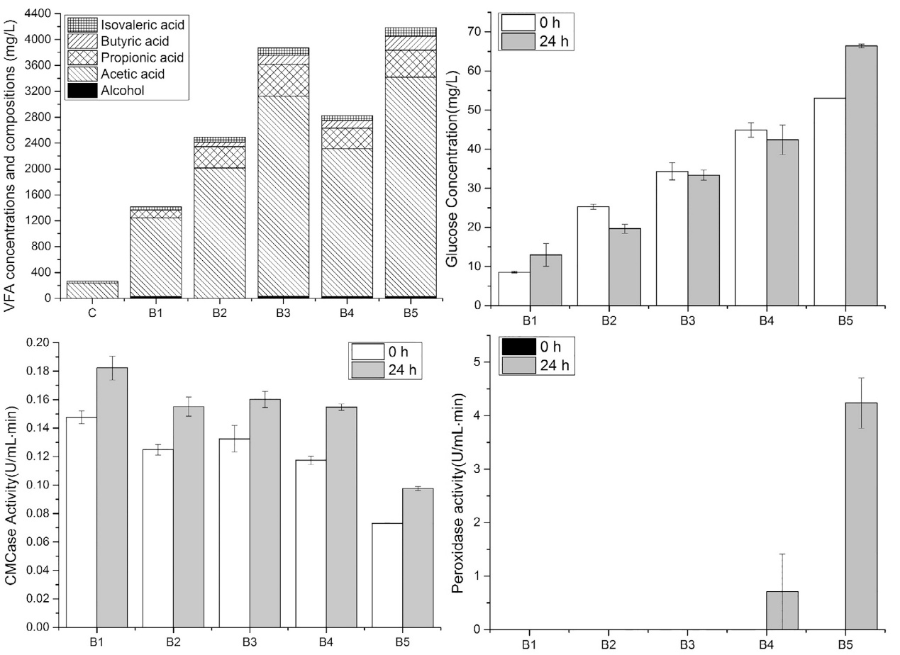
该研究组在近期研究中发现,利用厚壁菌门中枯草芽孢杆菌(Bacillus subtilis)作为微氧预处理接种物,取代沼液菌群,可提高玉米秸秆厌氧发酵17.35%的产甲烷量,并将预处理温度降低至37℃。该工作于2018年7月发表于Bioresource Technology(2018,259,18-23)。与沼液菌群相比,利用Bacillus subtilis纯菌液预处理后,产生过氧化物酶,酶活达4.24 U/mLmin;且在24h预处理后,木质素水解率23.0%,半纤维素水解率18.1%,纤维素损失较少。本研究为微生物-微氧预处理强化厌氧发酵技术的产业化应用提供理论支持,并为进一步调控代谢途径以提高纤维素生物质水解率和甲烷产生量提供基础支持。
上述工作获得了国家科技攻关计划、国家自然科学基金、山东省能源生物遗传资源重点实验室创新基金等项目的支持。

图1 微生物-微氧预处理玉米秸秆累积产甲烷量(B5)

图2 微生物-微氧预处理后的酶释放及代谢产物变化
原文链接:
Xu W, Fu S, Yang Z, et al. Improved methane production from corn straw by microaerobic pretreatment with a pure bacteria system. Bioresource Technology, 2018, 259:18.
https://doi.org/10.1016/j.biortech.2018.02.046
Fu S F, Fei W, Shi X S, et al. Impacts of microaeration on the anaerobic digestion of corn straw and the microbial community structure. Chemical Engineering Journal, 2016, 287(8):523-528.
https://doi.org/10.1016/j.cej.2015.11.070
Fu S F, Wang F, Yuan X Z, et al. The thermophilic (55°C) microaerobic pretreatment of corn straw for anaerobic digestion. Bioresource Technology, 2015, 175(7):203-208.
附件下载: